751. Novel Trinucleotide mRNA Capping Reagents: Improved Synthetic Route and Efficient Co-transcriptional Incorporation in mRNA

Chunping Xu, Russell Cousins, Ilya Ilichev, Jesus Ceja, Paul Ludford, Vagarshak Begoyan, Marc Turner, Maria Santos, Coleen Vo, Farinaz Rezvani, Andrew Ujita, Jordana Henderson, Michael Houston, Chanfeng Zhao, Alexandre V. Lebedev, RNA, (2025), 10.1261/rna.080634.125

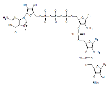
The 5’-N7-methylated guanosine triphosphate cap structure plays a critical role in mRNA translation and mRNA stability. The recent invention of co-transcriptional capping of mRNAs using Trinucleotide Capped Primers (TCP) allowed for development of large-scale in vitro transcription (IVT) synthesis of mRNA carrying a eukaryotic Cap 1 structure (TCP-mRNA). Here we present a novel “one-pottwo- step” methodology for the synthesis of TCPs that improves the yield and simplifies the isolation and purification of the TCPs. Over 70 different modified TCPs, the analogs of 7mGpppAmpG trimer, were synthesized, characterized, and tested for their ability to initiate IVT reaction. Results demonstrate that full complementarity of TCP to a template strand of dsDNA template at transcription initiation (start) site, at positions +1 and +2, is required and sufficient to obtain capped TCP-mRNA with high capping efficiency (>98%) and high yield (>5 mg/mL). The developed approach can be applied from small to large scale mRNA synthesis carrying various 5’-cap structures.