758. Synthesis, Photophysical Characterization, and Computational Analysis of Novel Bis(oxazolo[5,4-b]pyridine) Derivatives as Terpyridine-Inspired Fluorophores

Irina V. Palamarchuk, Aida S. Rakhimzhanova, Svetlana S. Volkova, Irina A. Pustolaikina, Ivan V. Kulakov, Preprints, (2025), 10.20944/preprints202512.0482

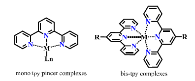
Terpyridines are well-known ligands in coordination chemistry due to their conformational flexibility and strong metal-binding properties; therefore, they serve as attractive platforms for the design and synthesis of new functional derivatives. This study focused on the synthesis and comprehensive investigation of a new class of bis-oxazolo[5,4-b]pyridine derivatives, designed based on their structural similarity to terpyridines. Four novel compounds 4a–d were synthesized by cyclization of amide derivatives of 3-aminopyridin-2(1H)-ones using pyridine-2,6-dicarboxylic acid and its dichloride as key acidic components. Their structures and purity were confirmed by melting point analysis, high-resolution mass spectrometry, and detailed 1H NMR spectroscopy. Photophysical studies in chloroform, dichloromethane, and acetonitrile revealed that compounds 4a–c exhibit intense blue to deep blue fluorescence (л_max323–347 nm) with high quantum yields (φi ≈0.32–0.84), attributed to р–π* transitions within the conjugated ring system. These findings suggest their potential as air-stable phosphors for organic electronics. Computational modeling of 4a–c molecules provided insight into their electronic structures, conformational stability, and predicted optical behavior. The most stable conformers (4a–II, 4b–II, 4c–II′) showed decreasing HOMO–LUMO gaps and photoactivity from 4a to 4c, with 4a–II emerging as the most promising fluorophore due to its high symmetry and consistent emission. Overall, this study lays the foundation for future studies of bis(oxazolo[5,4-b]pyridine) derivatives in coordination chemistry and optoelectronic materials development.