762. Discrimination of synthetic cannabinoids using 80MHz benchtop NMR: MDA-19 and its analogues

Sojeon Moon, Soyoung Park, Hyemin Kim, Jihwan Park, Seonghye Kim, Sujin Lee, Suhkmann Kim, ForensicChemistry, (2025), 10.1016/j.forc.2025.100718

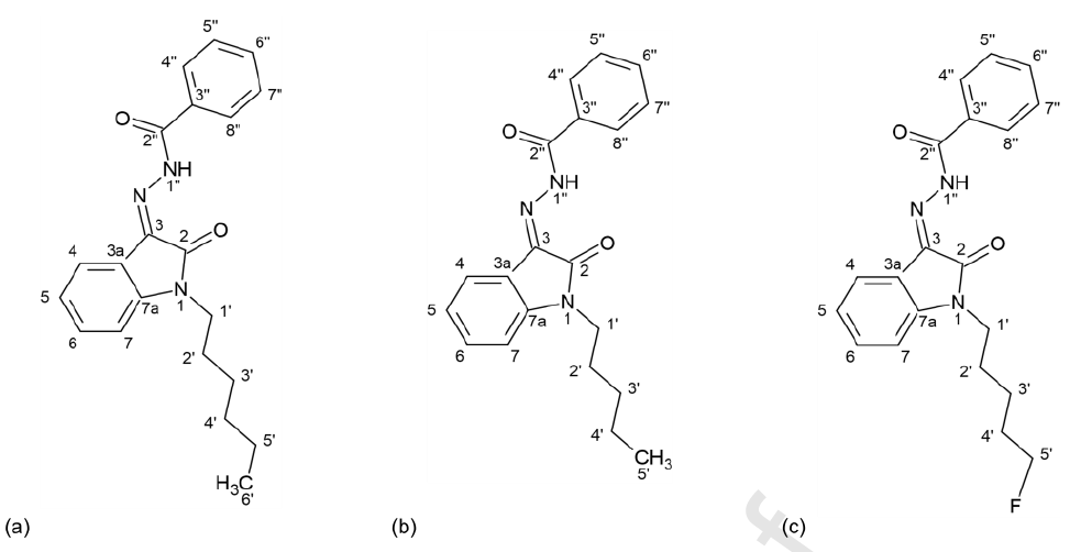
The widespread emergence of New Psychoactive Substances (NPS) continues to challenge forensic laboratories, particularly when structurally related synthetic cannabinoids must be distinguished early in the analytical process. MDA-19, originally developed as a selective CB2 receptor agonist, is now frequently encountered in illicit drug markets along with its closely related analogues such as 5C-MDA-19 and 5F-MDA-19. Their high structural similarity often leads to overlapping spectral patterns and complicates rapid field forward screening. In this study, we demonstrate that an 80 MHz benchtop NMR spectrometer a compact and readily accessible analytical platform can reliably differentiate MDA-19 and its analogues. Distinctive 1H NMR features were identified for each compound, and two dimensional 1H-13C HSQC experiments provided diagnostic cross-peaks that resolved key structural ambiguities. The combined spectral signatures indicated that the three analogues can be reproducibly distinguished even under mixture conditions. These findings highlight the operational utility of benchtop NMR for the rapid characterization of synthetic cannabinoids. In particular, HSQC offers high diagnostic value for discriminating structurally similar analogues, underscoring its potential integration into early-stage triage, seized drug assessment, and on-site forensic workflows.