791. Identification of the Sex Pheromone of the Macadamia Felted Coccid, Acanthococcus Ironsidei (Hemiptera: Eriococcidae)

Marc Clement Bouwer, Divan Gerald van Greunen, Anthony Michael King, Marnus Enslin, JChemEcology, (2026), 10.1007/s10886-026-01690-x

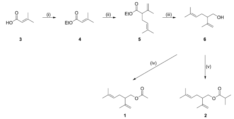
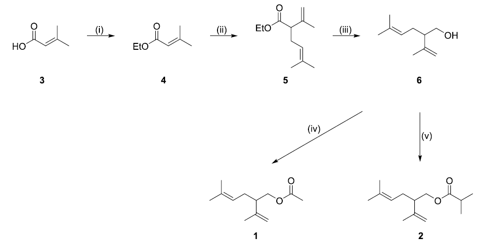
The macadamia felted coccid, Acanthococcus ironsidei (Williams), was recently discovered in South Africa. The insect has the potential to become a serious pest in South Africa’s macadamia industry and some areas in the Mpumalanga Province are already reporting damage due to A. ironsidei. The sex pheromone of A. ironsidei could provide a valuable monitoring tool for the pest, but has not been identified previously. In this study, the sex pheromone for A. ironsidei was identified as a 4:1 blend of racemic lavandulyl acetate and lavandulyl isobutyrate. The pheromone compounds were isolated from samples taken from plant material infested with adult virgin female scale insects. The compound identities were verified by mass spectral comparison and chromatographic retention indexes that were compared to synthetic compounds. The biological activity of these compounds was confirmed through field trials. This is the first report that confirms lavandulyl isobutyrate as a pheromone compound of a scale insect. Synthetic sex pheromones can now be used to enhance monitoring traps and could potentially be used for mass trapping and mating disruption of the pest.