741. Biobased UV-Curing Additive Manufacturing Materials Derived from Itaconic Acid−Based Polyester Resin and Biobased Reactive Diluents from (Meth)acrylic Acid

Celine Bösche, Lia Hagenlocher, Enrico Bianchi, Nicola Bragato, Nadia Lotti, Tobias Robert, ACSSustChemEng, (2025), 10.1021/acssuschemeng.5c09188

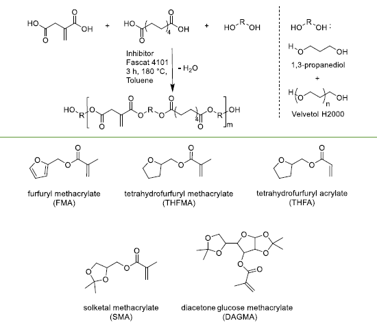
UV-curing additive manufacturing processes, such as stereolithography (SLA) and digital light processing (DLP), have certain advantages compared to other techniques, as parts with high accuracy and transparency are obtained. This process is especially used in the fields of dental materials, hearing aids, and jewelry. Despite a large choice of different materials in the market, very few biobased materials are to date commercially available. Over the past decade, polyesters from itaconic acid have proven to be an appropriate alternative to polyester and polyurethane (meth)acrylates, especially when combined with commercial reactive diluents. However, the latter usually results in a reduction of the overall biobased content of the UV-curing materials. To improve this, the use of novel (meth)acrylates derived from renewable resources as reactive diluents is reported herein. The effect of a (meth)acrylic ester from furfuryl alcohol, tetrahydrofurfuryl alcohol, solketal, and diacetone glucose on the performance of itaconic acid−based polyesters in UV-curing additive manufacturing is examined. The results suggest that methacrylates with rigid cyclic structures have the greatest influence on the mechanical properties of the cured parts with glass transition temperatures above 70 °C and tensile moduli as high as 0.4 GPa.